Are your young sows losing body condition?
- 2024
- EARLY LIFE
Dr. Nicoline Soede speaks to Sarah Mikesell, editor of The Pig Site and in collaboration with LifeStart Swine, about the body condition of sows and the impact it can have on milk production and health. Dr. Soede is an associate professor at Wageningen University in the Netherlands. She has worked at the University for more than 20 years teaching, conducting research and supervising PhD students in the field of pig reproduction. Her research is focused on the fertility of pigs including lactating sows.
Why worry about young sows losing body condition during lactation?
“Most sows lose body condition; they have to produce a lot of milk and with the increasing litter size, the amount of milk needed is increasing,” said Dr. Soede. “Because they can't eat sufficiently to produce that much milk, they have to get it from their body reserves, which doesn’t always turn into a problem. But if the losses of body condition are too high, then it will affect the sow’s subsequent performance. It's not always a big problem losing weight, but it is when it's too much.”
Generally, if the body condition losses are more than about 10% to 12% of their body weight at farrowing, then it becomes a problem. This threshold is more easily reached in younger sows that have lower body weights to start off with versus larger, older sows, which is why these high losses are more often seen in younger sows.
“The reason we might want to worry about this weight loss is because it affects the subsequent fertility of the sows,” she said. “It’s been well established over the last 25 to 30 years that sows that lose a lot of weight during their first lactation will have lower reproductive performance in the next cycle.”
Producers have typically seen an increased weaning to insemination interval, lower litter sizes and a lower farrowing rate.
A few years ago, Dr. Soede and her team evaluated the fertility of 500 gilts on two farms and saw that roughly one-third of those gilts had less than 6% weight loss, one-third had 6% to 12% weight loss, and one-third had more than 12% weight loss.
“On a typically managed farm, one-third of the sows well might run into trouble because they have 12% or more loss in body weight,” she said. “Indeed, in our study we saw that those sows with more than a 12% weight loss had an 8% lower farrowing rate and 2.4% less piglets born alive in the next cycle (see Table 1, from: Costermans et al., 2022 – DOI:10.1002/mrd.23628). So, it's a problem that has longer-term consequences, and that's why farmers need to worry, and we need to find solutions.”

One thing is clear - it's not only the subsequent reproduction, but low body condition sows continue to have other problems. These sows are also culled from the herd earlier, so they have a higher replacement rate.
“The reason this weight loss impacts subsequent fertility is because the weight losses during lactation impact the follicle development of the sows. We've done quite a bit of research on the follicles,” she said. “They stay smaller during lactation, and consequently, they produce less hormones. For example, gene expression patterns are influenced, and because the follicle is influenced, it's also influencing the oocyte in that follicle which needs to become the embryo in the next cycle. Thus, the cause lies in the negative energy balance during lactation that impacts the follicle development of those sows.”
Only a young sow problem?
Loss of body condition can be a problem in older sows if they lose a lot of weight. Normally, they lose a lower percentage of their body weight. But if a sow is, for example, sick or for another reason is off feed perhaps due to heat stress, then they may run into trouble. Another reason for body condition loss at any age of sow may be the increasing litter size.
Impact of body condition loss on milk production and health
Sows lie down a lot and when they become too skinny, this can result in shoulder ulcers. This used to be a big problem,” she said. “At the moment, I think this depends a bit on the genetics or the country or region, but it’s now not only a fertility issue, but it's also a sow health and welfare issue.”
Milk production is also impacted by sow weight loss. Milk production is measured by the weight gain of the piglets during lactation.
“Generally, you could say that body condition losses are good for milk production. I mean, that's where the nutrients for milk production come from,” she explained. “But when sows lose a lot of weight because they have a low feed intake, then they will also have a lower milk production and litter gain. It's all interrelated with the feed intake of the sows.”
As a term, Dr. Soede says body condition is somewhat unclear. Body condition losses occur in either body fat or body protein. About 20 to 40 years ago, sows had more back fat and a lot more fat on their body. The industry has traditionally evaluated sow body condition by measuring the fat deposits on a sow’s back. However, genetic selection has changed to produce a much leaner animal. Consequently, the back fat depth is significantly lower than the previous standard.
“Given the reduction in backfat, we also like to measure the loin muscle as a guide for sow body condition. You can measure at the same place, known as the P2 position at the back of the sow,” she noted. “We think that certainly in science and research, we should also be measuring the loin muscle but recognize it’s more difficult to do this on farm because it requires more expensive equipment.”
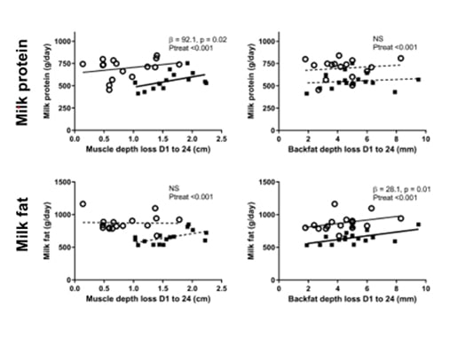
Dr. Soede noted an experiment in which the loin muscle losses were related to the milk protein levels during lactation whereas the back fat levels were related to the milk fat levels, both in full-fed sows and in sows with restricted feeding (Figure 1).

Figure 1 Relations between loin muscle depth loss and backfat depth loss between Day 1 and 24 of lactation and Milk protein and fat levels at Day 24. Sows were either full-fed (open circles, 6.5 kg/day), or restricted-fed (black squares, 3.25kg/day from Day 10 to 24 of lactation) (Costermans et al., 2020 DOI: 10.1017/S1751731120001536)
“So, it’s important that we learn more about loin muscle depth in relation to back fat depth to know more about the consequences of fat losses of the sow in relation to the protein losses,” she said.
Managing young sows differently
Body weight loss is affected by multiple factors. Hyper prolific sows are producing lots of piglets that want to aggressively suckle and need milk to grow. The number of piglets and their suckling intensity influences sow weight loss. However, reducing the number of piglets on young sows isn’t a solution because those piglets are needed to stimulate udder development for subsequent lactations.
“In research, people have tried to lower the number of piglets in the last part of lactation which is called partial weaning. If you wean the larger piglets of the litter, they can already take care of themselves, and the sow is left with fewer piglets that still need a bit more time to develop,” she said. “That somewhat reduces suckling intensity, and thereby the weight loss of the sow. But it requires more work and labor, so it may not work on all farms.”
The litter size is not expected to go down, so it’s important to increase the feed intake of sows during lactation to limit weight loss. Soede acknowledges that’s easier said than done as it’s partly related to genetics and the age and/or weight of the sow. Producers may want to consider postponing the time of first insemination, so they are working with more mature sows during the first lactation.
“Farmers may not like that because having a sow that doesn't produce anything for a bit longer costs money,” she noted. “But if it would help to diminish the weight losses during first lactation, it could give you a profit later with lower replacement rates and higher peak fertility in subsequent cycles. How the gilts start off with their first lactation is really important.”
Regarding feeding patterns in lactation, a step-up diet is often used to make sure that sows do not overeat and then stop eating. It’s also important to monitor the room temperature because if it’s too warm, sows won't eat. Also, ensure sows have fresh water that’s easily available. If sows don't drink, they won’t eat.
Feed composition is another area to consider. Dr. Soede has been involved in experiments with a focus on IGF-1 (insulin-like growth factor 1) levels, as IGF-1 levels are related to follicle development. She said the results showed that IGF-1 levels at weaning are largely related to the body condition losses during lactation and are not clearly influenced by feed composition during late lactation or after weaning.
“Currently, I'm involved in research looking at the protein composition in the diet. We are working with Pieter Langendijk at Trouw Nutrition and Hao Ye, a PhD student at the university, looking at protein digestion kinetics,” she said. “If you use proteins that are digested very rapidly, then those amino acids will be used for energy instead of for protein deposition. We looked at the effects of different levels of slow degrading proteins in the diet and have found that body condition losses were lower when we gave relatively more slow proteins, as you would expect. And in another experiment, we found that milk production was higher in the sows on the higher level of slow protein diets. So, there is something to be gained for sow and piglet performance.”
“On top of that, it can also reduce the nitrogen losses going into the environment,” she said. “Simply put, a larger part of the protein can be used by the sow. In all ways, it would be good to continue our work in that area. And I'm sure there are other ways to improve the diet for our lactating sows to improve and/or maintain their body condition.”
Role of genetics
The relevance of the genetic background of the sow is an area that needs more research.
“All over the world, we have different breeding companies that produce different types of sows that differ in many aspects,” she explained. “For example, litter size, feed intake during lactation, their vulnerability for high temperatures. I'm sure these all affect the process that we’ve been discussing. However, in research, we are used to working with the types of sows that are available in our neighborhood. Farmers also usually have one breed of sow. So, it's very difficult to know whether certain solutions are indeed the solutions for the genetics in your herd. I think it would be good if we could learn more about those differences – additional research is needed.”